Если вы поклонник американского кинематографа, то вы, скорее всего, обращали внимание на то, что в США температуру воздуха измеряют не в привычных для нас градусах Цельсия, а в других единицах — градусах Фаренгейта. Заходит ли речь о прогнозе погоды или просто обсуждается невыносимая жара, в качестве единицы измерения всегда фигурируют градусы по Фаренгейту. Что это за дань прошлому, почему граждане США никак не могут перейти на шкалу Цельсия, как это сделали практически все остальные страны мира?

Помимо США, шкалу Фаренгейта продолжает применять несколько небольших стран, таких как Либерия, Белиз и Республика Палау. Еще в середине прошлого столетия эта шкала была более популярна — ей пользовались в Великобритании, Канаде, в других англоязычных странах мира, а также в британских колониях. Но в 60-х годах прошлого века почти все они переключились на международные стандарты и отказались от шкалы Фаренгейта в пользу Цельсия. Однако американцы проявили стойкость и не захотели ничего менять.

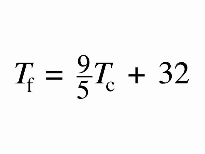
Шкала Фаренгейта была разработана немцем Габриэлем Фаренгейтом чуть раньше, чем мир узнал о шкале Цельсия, созданной Андерсом Цельсием из Швеции. Шкала Цельсия и ее основные значения связаны с разными состояниями воды: температура образования льда соответствует 0ºС, а переход в парообразное состояние соотносится со 100ºС. Со шкалой Фаренгейта все сложнее. Здесь нет столь точных связей с физическими превращениями воды, а сама шкала более дробная. Единственная точка на термометре, в которой совпадают значения по этим двум шкалам — это минус 40 градусов. Ну а для того, чтобы перевести градусы из одной шкалы в другую, придется воспользоваться специальной формулой.

Упорство американцев объясняется элементарной привычкой и нежеланием ничего менять в угоду международным стандартам. Сотрудники метеорологических служб в США в своих расчетах применяют шкалу Цельсия, так как это соответствует международным нормам, но ежедневный прогноз погоды для американских граждан дается в привычных градусах по Фаренгейту, поскольку американцам так удобнее. Регулярные социологические опросы показывают, что граждане США не желают использовать шкалу Цельсия и не видят ничего страшного в том, что уже почти никто в мире не применяет творение шведа Фаренгейта.

Присоединяйся к нашему сообществу в телеграмме, нас уже более 1 млн человек 😍
Ссылка на тематические чаты тут https://t.me/+69dR1AvDfdM0MTYy